Standard Heat Of Formation Of N-Butane .  136 rows standard enthalpy change of formation (data table) these tables include heat of formation data gathered from a. The aggregate state is given in parentheses following the formula, such as:  the standard enthalpy of formation is a measure of the energy released or consumed when one mole of a substance is created.  selected atct [1, 2] enthalpy of formation based on version 1.118 of the thermochemical network this version of.
        
         
         
        from duanerafanan.blogspot.com 
     
        
         selected atct [1, 2] enthalpy of formation based on version 1.118 of the thermochemical network this version of. The aggregate state is given in parentheses following the formula, such as:  the standard enthalpy of formation is a measure of the energy released or consumed when one mole of a substance is created.  136 rows standard enthalpy change of formation (data table) these tables include heat of formation data gathered from a.
    
    	
            
	
		 
	 
         
    DUANE HESS'S LAW 
    Standard Heat Of Formation Of N-Butane   selected atct [1, 2] enthalpy of formation based on version 1.118 of the thermochemical network this version of.  selected atct [1, 2] enthalpy of formation based on version 1.118 of the thermochemical network this version of. The aggregate state is given in parentheses following the formula, such as:  the standard enthalpy of formation is a measure of the energy released or consumed when one mole of a substance is created.  136 rows standard enthalpy change of formation (data table) these tables include heat of formation data gathered from a.
            
	
		 
	 
         
 
    
         
        From www.numerade.com 
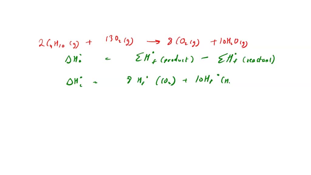
                    SOLVED What is the enthalpy of formation of butane (C4H10) if the Standard Heat Of Formation Of N-Butane   selected atct [1, 2] enthalpy of formation based on version 1.118 of the thermochemical network this version of. The aggregate state is given in parentheses following the formula, such as:  136 rows standard enthalpy change of formation (data table) these tables include heat of formation data gathered from a.  the standard enthalpy of formation is a measure. Standard Heat Of Formation Of N-Butane.
     
    
         
        From www.pinterest.com 
                    A vapor mixture of nbutane and nheptane, with properties as shown in Standard Heat Of Formation Of N-Butane   selected atct [1, 2] enthalpy of formation based on version 1.118 of the thermochemical network this version of. The aggregate state is given in parentheses following the formula, such as:  136 rows standard enthalpy change of formation (data table) these tables include heat of formation data gathered from a.  the standard enthalpy of formation is a measure. Standard Heat Of Formation Of N-Butane.
     
    
         
        From www.numerade.com 
                    SOLVED Using Standard Enthalpy of Formation Enthalpy Test (all Standard Heat Of Formation Of N-Butane   136 rows standard enthalpy change of formation (data table) these tables include heat of formation data gathered from a.  selected atct [1, 2] enthalpy of formation based on version 1.118 of the thermochemical network this version of. The aggregate state is given in parentheses following the formula, such as:  the standard enthalpy of formation is a measure. Standard Heat Of Formation Of N-Butane.
     
    
         
        From www.youtube.com 
                    5.1 Standard enthalpy changes of formation and combustion YouTube Standard Heat Of Formation Of N-Butane   selected atct [1, 2] enthalpy of formation based on version 1.118 of the thermochemical network this version of.  136 rows standard enthalpy change of formation (data table) these tables include heat of formation data gathered from a.  the standard enthalpy of formation is a measure of the energy released or consumed when one mole of a substance. Standard Heat Of Formation Of N-Butane.
     
    
         
        From exokycsnc.blob.core.windows.net 
                    Standard Enthalpy Of Formation Table Elements at Filomena Gilbert blog Standard Heat Of Formation Of N-Butane   selected atct [1, 2] enthalpy of formation based on version 1.118 of the thermochemical network this version of. The aggregate state is given in parentheses following the formula, such as:  the standard enthalpy of formation is a measure of the energy released or consumed when one mole of a substance is created.  136 rows standard enthalpy change. Standard Heat Of Formation Of N-Butane.
     
    
         
        From www.coursehero.com 
                    [Solved] 73. Calculate the enthalpy of combustion of butane, C4H10(g Standard Heat Of Formation Of N-Butane   selected atct [1, 2] enthalpy of formation based on version 1.118 of the thermochemical network this version of. The aggregate state is given in parentheses following the formula, such as:  136 rows standard enthalpy change of formation (data table) these tables include heat of formation data gathered from a.  the standard enthalpy of formation is a measure. Standard Heat Of Formation Of N-Butane.
     
    
         
        From www.researchgate.net 
                    Rate of product formation in the oxidation of nbutane over a hBN and b Standard Heat Of Formation Of N-Butane   136 rows standard enthalpy change of formation (data table) these tables include heat of formation data gathered from a. The aggregate state is given in parentheses following the formula, such as:  the standard enthalpy of formation is a measure of the energy released or consumed when one mole of a substance is created.  selected atct [1, 2]. Standard Heat Of Formation Of N-Butane.
     
    
         
        From www.nagwa.com 
                    Question Video Calculating the Standard Enthalpy of Formation for Standard Heat Of Formation Of N-Butane  The aggregate state is given in parentheses following the formula, such as:  the standard enthalpy of formation is a measure of the energy released or consumed when one mole of a substance is created.  136 rows standard enthalpy change of formation (data table) these tables include heat of formation data gathered from a.  selected atct [1, 2]. Standard Heat Of Formation Of N-Butane.
     
    
         
        From www.researchgate.net 
                    Isomerisation mechanisms of n and isobutane. Download Scientific Diagram Standard Heat Of Formation Of N-Butane   selected atct [1, 2] enthalpy of formation based on version 1.118 of the thermochemical network this version of.  the standard enthalpy of formation is a measure of the energy released or consumed when one mole of a substance is created. The aggregate state is given in parentheses following the formula, such as:  136 rows standard enthalpy change. Standard Heat Of Formation Of N-Butane.
     
    
         
        From www.numerade.com 
                    nButane is converted to isobutane in an isomerization reactor, which Standard Heat Of Formation Of N-Butane   136 rows standard enthalpy change of formation (data table) these tables include heat of formation data gathered from a.  selected atct [1, 2] enthalpy of formation based on version 1.118 of the thermochemical network this version of.  the standard enthalpy of formation is a measure of the energy released or consumed when one mole of a substance. Standard Heat Of Formation Of N-Butane.
     
    
         
        From learningschoolgraciauwb.z4.web.core.windows.net 
                    How To Determine The Heat Of Formation Standard Heat Of Formation Of N-Butane   selected atct [1, 2] enthalpy of formation based on version 1.118 of the thermochemical network this version of.  the standard enthalpy of formation is a measure of the energy released or consumed when one mole of a substance is created. The aggregate state is given in parentheses following the formula, such as:  136 rows standard enthalpy change. Standard Heat Of Formation Of N-Butane.
     
    
         
        From www.numerade.com 
                    SOLVED The reversible liquidphase isomerization of nbutane (A) to i Standard Heat Of Formation Of N-Butane   selected atct [1, 2] enthalpy of formation based on version 1.118 of the thermochemical network this version of.  136 rows standard enthalpy change of formation (data table) these tables include heat of formation data gathered from a. The aggregate state is given in parentheses following the formula, such as:  the standard enthalpy of formation is a measure. Standard Heat Of Formation Of N-Butane.
     
    
         
        From www.toppr.com 
                    Draw Newman projection formula of nbutane. Standard Heat Of Formation Of N-Butane   selected atct [1, 2] enthalpy of formation based on version 1.118 of the thermochemical network this version of. The aggregate state is given in parentheses following the formula, such as:  the standard enthalpy of formation is a measure of the energy released or consumed when one mole of a substance is created.  136 rows standard enthalpy change. Standard Heat Of Formation Of N-Butane.
     
    
         
        From www.answersarena.com 
                    [Solved] nbutane change to isobutane ( n )Butane ( lef Standard Heat Of Formation Of N-Butane   the standard enthalpy of formation is a measure of the energy released or consumed when one mole of a substance is created.  136 rows standard enthalpy change of formation (data table) these tables include heat of formation data gathered from a. The aggregate state is given in parentheses following the formula, such as:  selected atct [1, 2]. Standard Heat Of Formation Of N-Butane.
     
    
         
        From www.semanticscholar.org 
                    Table II from Largescale calculations of gas phase thermochemistry Standard Heat Of Formation Of N-Butane   selected atct [1, 2] enthalpy of formation based on version 1.118 of the thermochemical network this version of. The aggregate state is given in parentheses following the formula, such as:  136 rows standard enthalpy change of formation (data table) these tables include heat of formation data gathered from a.  the standard enthalpy of formation is a measure. Standard Heat Of Formation Of N-Butane.
     
    
         
        From www.researchgate.net 
                    Enthalpy of formation and heats of formation of main combustion Standard Heat Of Formation Of N-Butane   136 rows standard enthalpy change of formation (data table) these tables include heat of formation data gathered from a.  the standard enthalpy of formation is a measure of the energy released or consumed when one mole of a substance is created. The aggregate state is given in parentheses following the formula, such as:  selected atct [1, 2]. Standard Heat Of Formation Of N-Butane.
     
    
         
        From www.toppr.com 
                    The stable conformation of nbutane is Standard Heat Of Formation Of N-Butane   the standard enthalpy of formation is a measure of the energy released or consumed when one mole of a substance is created.  selected atct [1, 2] enthalpy of formation based on version 1.118 of the thermochemical network this version of.  136 rows standard enthalpy change of formation (data table) these tables include heat of formation data gathered. Standard Heat Of Formation Of N-Butane.
     
    
         
        From www.researchgate.net 
                    Rate of product formation in the oxidation of nbutane over a hBN and b Standard Heat Of Formation Of N-Butane  The aggregate state is given in parentheses following the formula, such as:  the standard enthalpy of formation is a measure of the energy released or consumed when one mole of a substance is created.  136 rows standard enthalpy change of formation (data table) these tables include heat of formation data gathered from a.  selected atct [1, 2]. Standard Heat Of Formation Of N-Butane.